• Adult Dating
  • Online Cams
  • Sex Games
  • Casual Dating
  • Gay Dating
  • Home
  • Search
  • Gay Dating
  • Sex Dating
  • All Models in cams
  • Best porno games
  • Casual Dating
  • Best Porn Sites
  • Fapopedia

    Video: Dritte wurzel ziehen

    Images:

    08B.1 dritte Wurzel von e^(5x) + 2 auflösen, Umkehrfunktion - TIB AV-Portal  0
    02B.3 Wurzel(52) schätzen, Tangentengerade an Wurzelfunktion - TIB AV-Portal  1
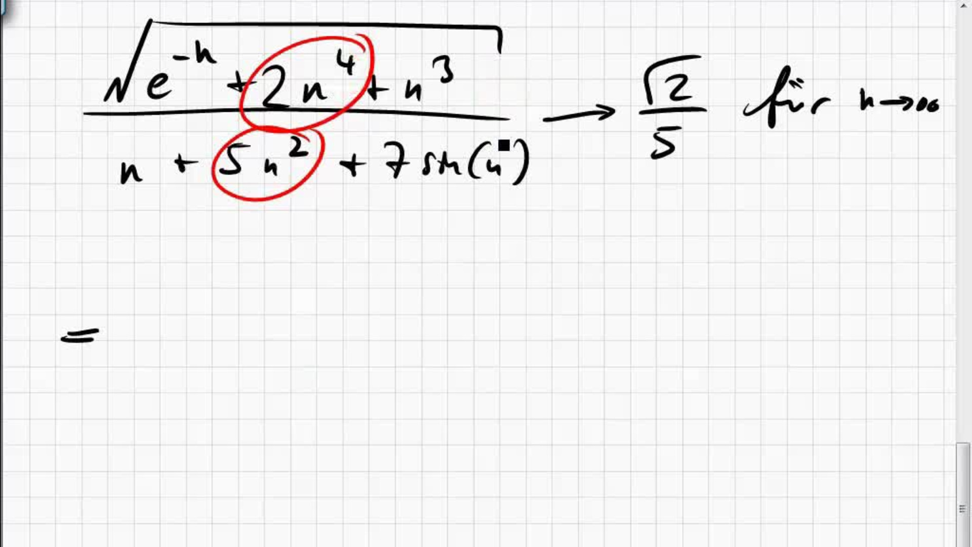
    19B.3 Grenzwertbetrachtung mit Bruch und Wurzel, anderes Beispiel - TIB  AV-Portal  2
    12B.2 Newton-Verfahren; Wurzel 5 mit Grundrechenarten;  Konvergenzgeschwindigkeit - TIB AV-Portal  3
    18B.2 Gleichung mit komplexen Zahlen; Wurzel aus i - TIB AV-Portal  4
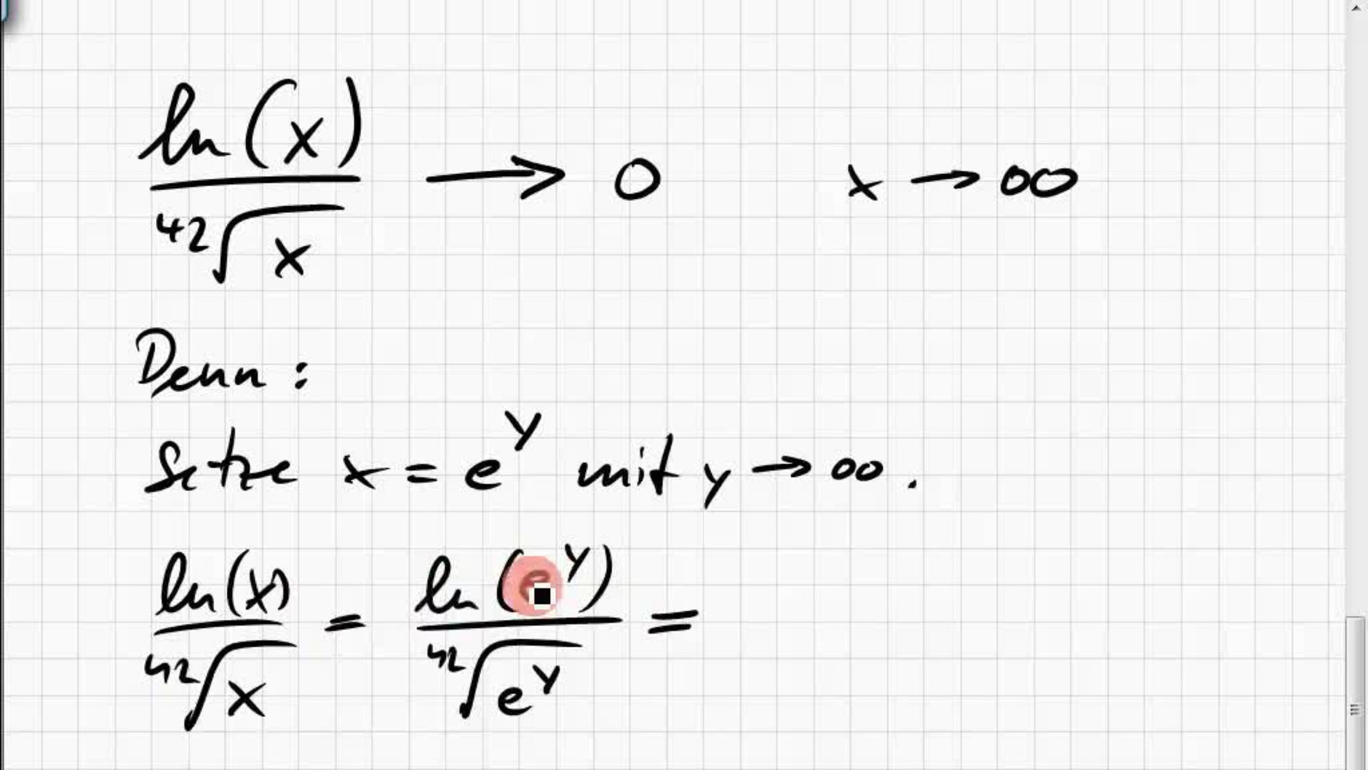
    19B.8 Logarithmus wächst langsamer als jede Wurzel - TIB AV-Portal  5
    Wurzeln | Grundlagen, Videos, Beispiele | einfach erklärt 1a  6
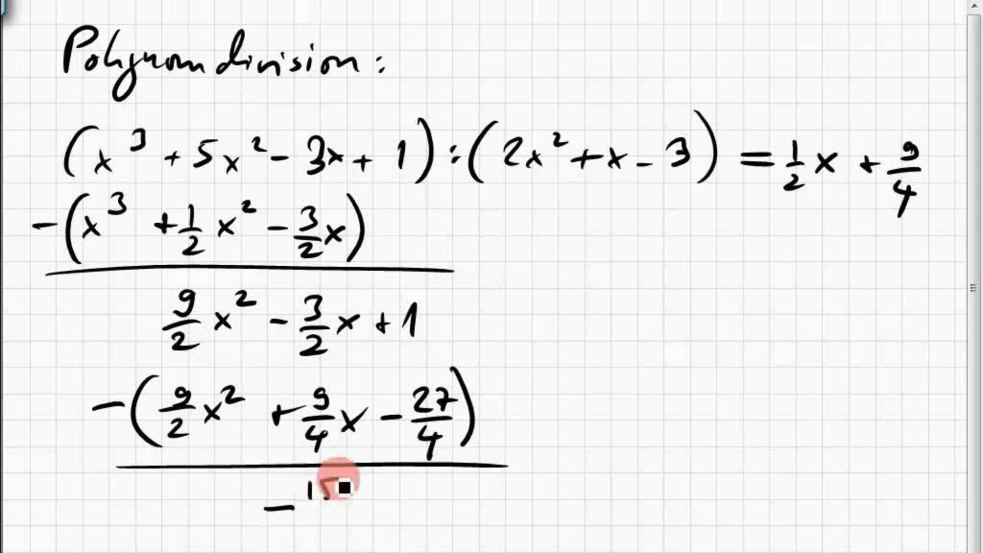
    11B.3 Polynomdivision, Beispiel - TIB AV-Portal  7
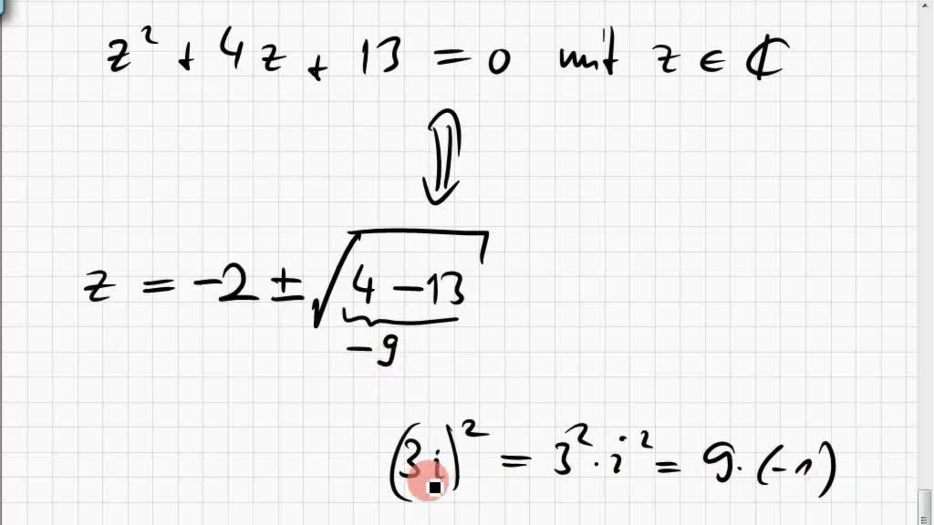
    04B.3 quadratische Gleichung mit komplexwertigen Lösungen - TIB AV-Portal  8
    Dank dem besten(!) Mathe-Trick der Welt weisst du in drei Sekunden, was die dritte  Wurzel aus 658503 ist. (87)  9
    Kettenzug 3T  3000kg Manueller Kettenzug zum Ziehen Heben 3 Meter  Kettenheben Ziehen Konstruktion : Amazon.de: Gewerbe, Industrie &  Wissenschaft  10
    01B.1 Formales zur Mathe-Veranstaltung; Videos, Skripte, Inverted Classroom  - TIB AV-Portal  11
    Heron-Verfahren: Wurzelberechnung ohne Taschenrechner - Spektrum der  Wissenschaft  12
    Christoff Rudolff: Verfasser des ersten deutschen Algebrabuchs - Spektrum  der Wissenschaft  13
    13B.8 rationale Funktion skizzieren an Nullstellen, Polstellen - TIB  AV-Portal  14
    Klettenwurzel geschnitten 500g | getrocknete und fein geschnittene  Klettenwurzel | leicht herber, harmonischer Geschmack | ideal für  Klettenwurzeltee | vom Achterhof : Amazon.de: Lebensmittel & Getränke  15
    Eibischwurzel 500g I Eibischwurzel getrocknet und geschnitten I ideal für  Eibischwurzel-Tee I süßer Geschmack I naturrein I Kräutertee lose I vom  Achterhof : Amazon.de: Lebensmittel & Getränke  16
    Große ABC-Holzwürfel - ästhetische Bauklötze zum ABC lernen ab 2 Jahren |  Montessori Lernwelten - Der Shop für Montessori Material  17
    Mykorrhizapilze: unerkanntes Potenzial für die Aufforstung | Wald Schweiz  18
    Figuren stapeln | Montessori Lernwelten - Der Shop für Montessori Material  19
    • 1
    • Related
    • More
      • Home
      • Contacts
      • 18 USC 2257
      • DMCA
      • 🔴 Report
      2017-2025 purpur-style.ru v3.0
      All rights reserved.